Abstract
Background: Follicular lymphoma (FL) is a heterogenous disease. The optimal timing, sequence and choice of therapy remain matters of debate and there is no optimal prognostic tool. The FLIPI (Follicular Lymphoma International Prognostic Index) is based on five bio-clinical parameters and is widely used, but not as guide for choice of treatment. Recently a new prognostic score (PRIMA-PI), based solely on two parameters, bone marrow involvement and serum beta2 microglobulin (ß2m) was proposed for patients treated with immunochemotherapy (Bachy E., Blood 2018).
The Nordic Lymphoma Group (NLG) performed two randomized trials including patients with symptomatic/progressive indolent CD20+ lymphoma, with rituximab monotherapy or rituximab in combination with interferon (IFN)-α2a as primary treatment, without maintenance (Kimby E., 2008, 2015). The 10 years follow-up of these patients showed a good survival with no major safety issues and no need for later chemotherapy in 38% of FL patients (Lockmer S, JCO 2018).
Aim/Purpose: To evaluate two different prognostic systems (the new PRIMA-PI and the FLIPI), for overall survival (OS) and time to treatment failure (TTF) in a cohort of symptomatic/progressive FL patients treated with a rituximab-containing first-line regimen without chemotherapy.
Methods: Previously untreated patients with a confirmed FL diagnosis (n=269) or indolent lymphoma not otherwise specified (n=22, most FLs with insufficient material for grading), treated in the NLG randomized trials with two cycles rituximab (375 mg/m2 x 4 weeks), with or without IFN-α2a, were classified into the three PRIMA-PI categories: high-risk: ß2m> 3mg / L, intermediate-risk: ß2m ≤ 3 mg / L with bone marrow involvement and low-risk: ß2m ≤ 3 mg / without bone marrow involvement. The FLIPI scores were also assessed. TTF, defined as the interval between randomization and either initiation of new lymphoma therapy due to relapse or intolerance, or death from any cause, as well as OS were estimated using the Kaplan Meier method. The log-rank test was used for comparison between risk groups.
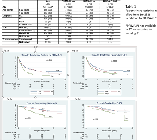
Results: Out of 291 patients, 252 had complete data on PRIMA-PI and FLIPI (at the time of randomization in the original trials) and were available for analyses of TTF and OS. Patient characteristics are shown in Table 1. PRIMA-PI seemed to identify a true high-risk group of 47 patients, 32 of them being high risk also according to FLIPI, while a larger patient group (n=117) was classified as FLIPI high-risk.
After a long follow-up time, median 9.9 years (0.4 -18.8) from randomization, median 10.6 years for the 214 patients (74%) still alive, 76 patients (26%) were failure-free and 108 (37%) without need of any chemotherapy, Patients with PRIMA-PI high showed a shorter TTF compared to PRIMA-PI intermediate and low (Fig 1a), whereas the FLIPI risk-groups were not significantly separated (Fig 1b). Evidence of transformation to aggressive disease was seen in 55 patients, with no significant difference in frequency between the PRIMA-PI groups, nor between FLIPI groups.
Both PRIMA-PI and FLIPI were of significant value for predicting OS, most evident after a long follow-up time (Fig 1c and d). In 41 patients the cause of death was progressive disease or therapy complications, regarded as lymphoma-related death, whereas 21 died of other causes. The lymphoma-specific survival was related to the PRIMA-PI (log-rank p=0.03), but not to the FLIPI (n.s). Prognosis was worse for the PRIMA-PI high-risk group than the for the low-risk, also when adjusted for sex, high age (>60 years), diagnosis, stage, ECOG and FLIPI risk-group; TTF HR 1.82 (95% CI 1.16-2.85, p=0.01) and OS HR 2.3 (95% CI 1.00-5.38, p=0.05).
Conclusion: FL patients included in two NLG trials with complete clinical data and a median follow-up of >10 years after randomization have been assessed for validation of different prognostic indices. In these patients, all with chemo-free first-line therapy, the PRIMA-PI was shown a valid predictor of both TTF and OS and seemed more useful than the FLIPI. The PRIMA-PI high risk identified a group of patients (19% of all) with true poor prognosis.
Kimby:Roche: Honoraria; Roche: Honoraria; Janssen: Membership on an entity's Board of Directors or advisory committees; Gilead: Honoraria; AbbVie: Membership on an entity's Board of Directors or advisory committees. Holte:Novartis Pharmaceuticals Corporation: Membership on an entity's Board of Directors or advisory committees; Roche, Norway: Research Funding. Wahlin:Roche: Research Funding; Gilead: Consultancy, Honoraria, Research Funding. Hagberg:Roche: Honoraria.
Author notes
Asterisk with author names denotes non-ASH members.

This feature is available to Subscribers Only
Sign In or Create an Account Close Modal